Rangkaian Hexadecimal keypad
- Merangkai dan menguji rangkaian hexadesimal keypad
- Memahami prinsip kerja rangkaian hexadesimal keypad
2. Alat dan Bahan [back]
Hexadecimal Keypad
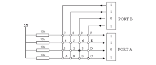
Rangkaian hexadecimal keypad seperti terlihat pada
gambar 1. Melalui port
B (PBO - PB3) dikirimkan pola bit untuk scan
kolom. Selanjutnya dari port A (PAO - PA3) akan dibaca data (hasil penekanan
tombol) yang terdapat pada kolom yang sedang di scan.
Gambar 1 Rangkaian Hexadecimal
Keypad
Sinyal scan dari port B adalah active low. Jadi kondisi low
akan diberikan atau dikirimkan ke kolom yang sedang di scan.
Rangkaian dilengkapi dengan resistor-resistor pull-up
ke +5 Volt. Dalam kondisi normal, atau tidak ada tombol yang ditekan,
maka port A (PA0 -PA3) akan berada pada kondisi high. Dalam keadaan ada tombol yang dtekan, maka input port A yang bersesuaian akan
berada pada kondisi low jika tombol
yang ditekan tersebut berada pada kolom yang sedang di scan. Salah satu contoh dari kejadian dimana ada tombol yang
ditekan dapat dilihat pada gambar 2.
Gambar 2 Kondisi port A dan port B jika tombol ‘3’ ditekan
Jadi sinyal ‘0’ (low) pada port A (PA0 - PA3) menandakan
ada tombol yang ditekan. Sedangkan sinyal ‘1’ (high) pada semua input port A
(PA0 - PA3) menandakan tidak ada tombol yang ditekan.



Tidak ada komentar:
Posting Komentar